6月2日,四川省教育厅发布了2020年四川省特岗教师招聘简章。今年,我省将继续组织实施农村义务教育阶段学校教师特设岗位计划,招聘特岗教师2333名,其中初中教师1021名,小学教师1312名。有关事项公告如下:
2020年四川省特岗教师招聘简章
为切实加强农村中小学教师队伍建设,促进义务教育均衡发展,根据教育部、财政部、人力资源和社会保障部、中央编办安排部署,2020年四川省继续组织实施农村义务教育阶段学校教师特设岗位计划,招聘特岗教师。现将有关事项公告如下。
一、招聘岗位
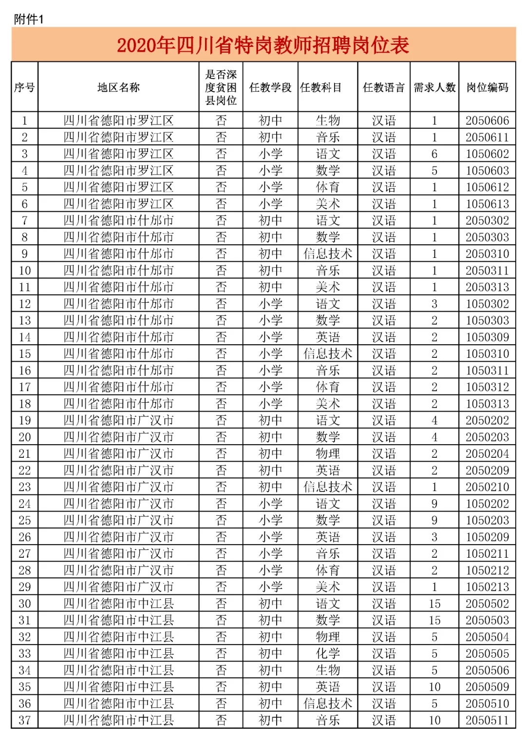
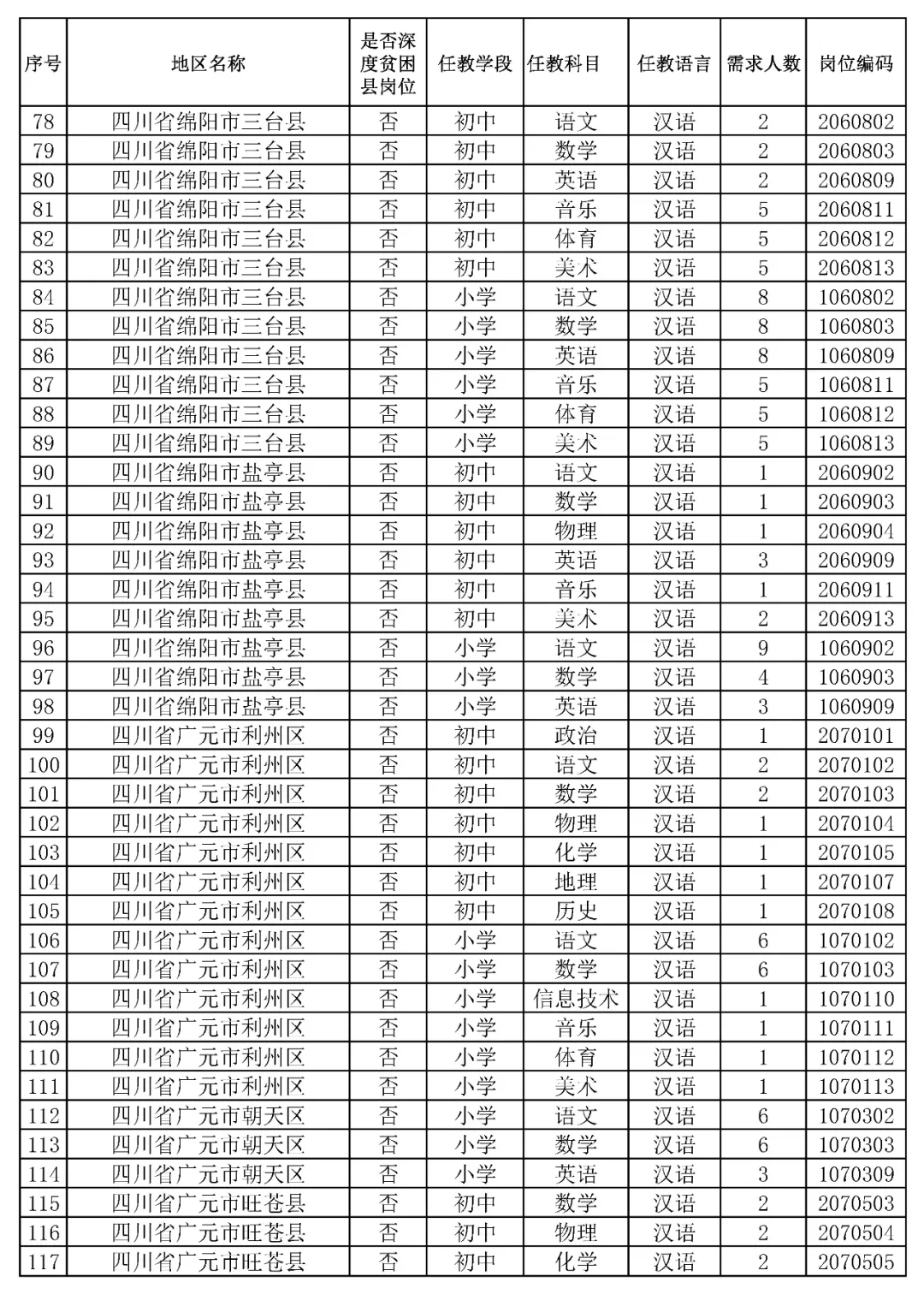
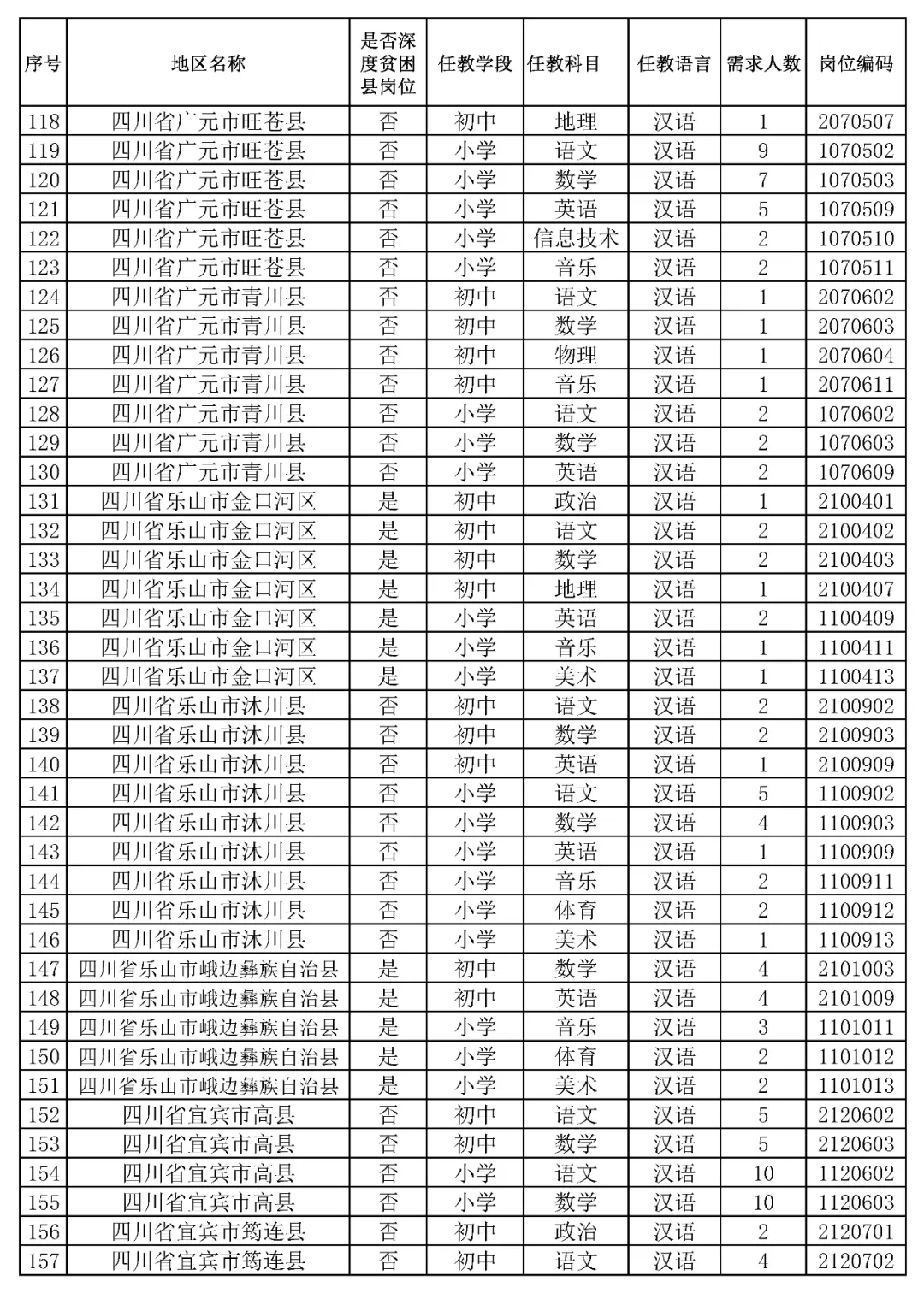
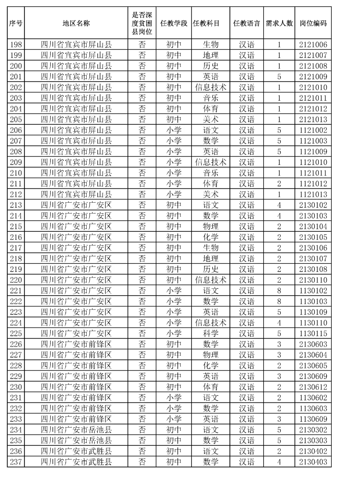
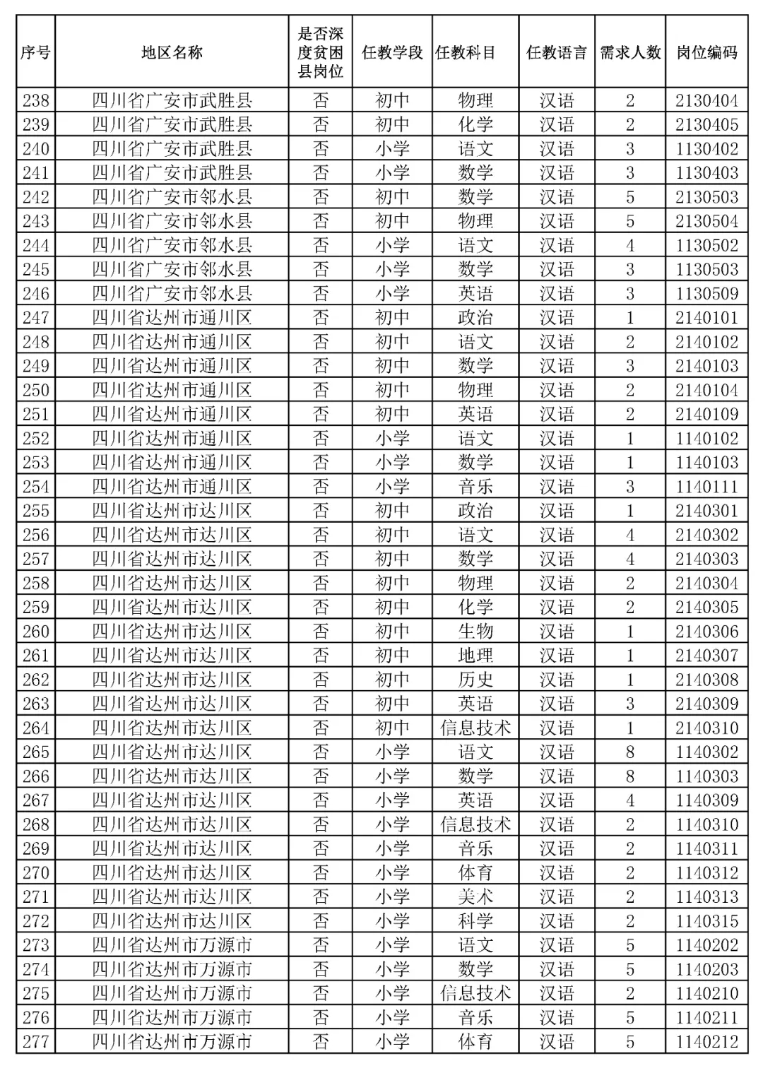
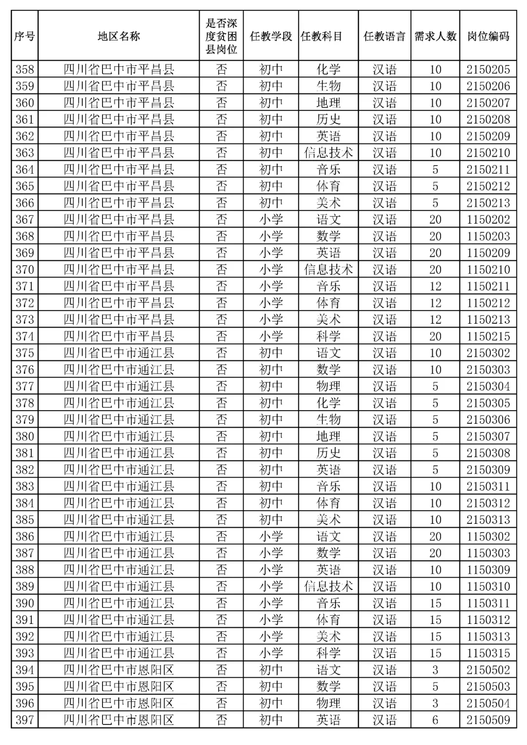
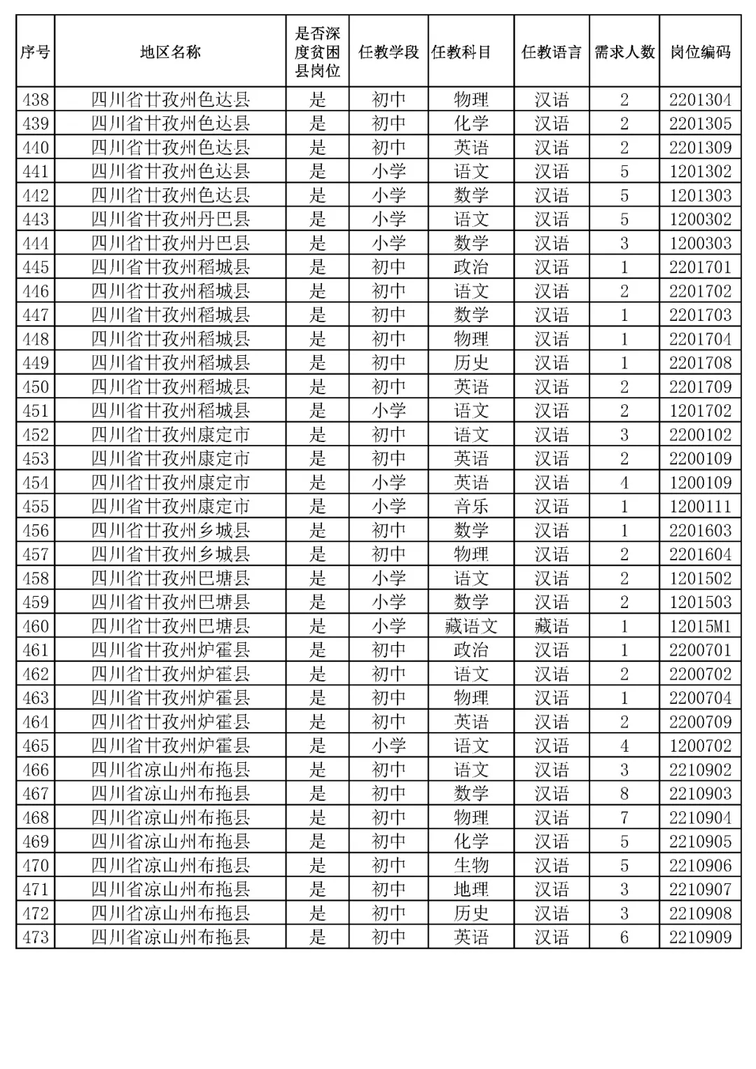
2020年四川省招聘特岗教师2333名,其中初中教师1021名,小学教师1312名,具体岗位详见《2020年四川省特岗教师招聘岗位表》(见附件1)。考生可登录四川省教育厅门户网站(http://edu.sc.gov.cn)、四川省人力资源和社会保障厅官网(http://rst.sc.gov.cn)、四川省教育考试院网(http://www.sceea.cn),查阅相关招聘信息。
特别提示:请报考深度贫困县岗位的人员注意,今年深度贫困县岗位先录取深度贫困县本县籍(即设岗深度贫困县籍,具体指:应届生生源所在地或往届生户口所在地为设岗深度贫困县)毕业生,不足的再录取外县考生,请充分了解相关规则后志愿报考。
二、招聘对象及条件
(一)招聘对象
本科及以上学历毕业生;师范类专业大专学历毕业生。
(二)基本条件
1.政治素质好,热爱社会主义祖国,拥护党的各项方针、政策,热爱教育事业,有强烈的事业心和责任感,品行端正,遵纪守法,在校或工作(待业)期间表现良好,无违法犯罪行为,未受过任何纪律处分,志愿服务农村基层教育。
2.年龄不超过30岁(1990年1月1日及以后出生)。
3.身体条件符合《四川省申请认定教师资格人员体检工作指导意见》规定,并能适应设岗地区工作、生活环境。
4.学历条件:(1)本科及以上学历毕业生,可以报考初中和小学招聘岗位。(2)师范类专业大专学历毕业生,只能报考小学招聘岗位。
5.教师资格条件:执行“先上岗、再考证”阶段性措施,报名和上岗时无需取得教师资格证书,上岗后一年内需取得相应教师资格证书,否则年度考核视为不合格。
(三)其他要求
1.近三年以来存在下列行为的人员不得报考特岗教师:参加了特岗教师招聘的笔试、面试、体检等环节,已经通知签订《特岗教师服务协议书》,却无故不签的;签订了《特岗教师服务协议书》,却无故不到岗的;派遣到岗后未经批准擅自离岗的;未满服务期的特岗教师。
2.凡是弄虚作假或不符合招聘对象及条件的人员,在笔试、资格审查、面试、培训、聘用等任何环节中一经发现,一律取消资格,所造成的后果由考生自己承担。
三、待遇及有关政策保障
1.特岗教师聘期三年,期间执行国家统一的工资制度和标准(包括绩效工资),其它津补贴由各地根据当地同等条件公办教师年收入水平和中央补助水平综合确定。
2.特岗教师在服务期间按规定纳入当地社会保障体系,享受服务地区相应的社会保障待遇。
3.特岗教师享受国家《关于引导和鼓励高校毕业生面向基层就业的意见》(中办发〔2005〕18号)、《关于组织开展高校毕业生到农村基层从事支教、支农、支医和扶贫工作的通知》(国人部发〔2006〕16号)和四川省《关于引导和鼓励高校毕业生面向基层就业的实施意见》(川委办〔2005〕34号)、《关于做好2018年“三支一扶”计划招募工作的通知》(川人社发〔2018〕16号)等规定的有关优惠政策。
4.特岗教师三年聘期结束后,对服务期满、每年年度考核合格,且自愿留在本地学校的,在编制和岗位总量内,经县教育行政部门审核,同级政府人社部门批准,由用人单位办理事业单位人员聘用手续,按照有关规定办理上编制、核定工资基金等手续,同时将其工资发放纳入当地财政统发范围,保证其享受当地教师同等待遇。
5.符合相应条件要求的特岗教师,可按规定推荐免试攻读教育硕士。特岗教师三年聘期视同“农村学校教育硕士师资培养计划”要求的三年基层教学实践。
6.特岗教师招聘的报名、笔试、面试、体检等各个环节均不向考生收取任何费用。
四、报名
凡志愿报考特岗教师的人员,于6月4日10:00-6月11日17:00通过四川省教育考试院网(http://www.sceea.cn)进行报名,不设现场报名。符合报考条件的人员,在报名网站通过身份证号注册登录、完善个人相关信息后,就可以填报志愿。请认真填写报名各项信息,报名截止后不可修改个人信息。
考生报名按以下程序进行:
1.选择岗位。
考生登录报名网站,认真阅读招聘简章,了解“特岗计划”相关政策和招聘岗位规定的范围、对象、条件、报名程序以及注意事项等内容后,选择符合报名条件要求的岗位(具体查阅附件1),可以自愿填报地区调配。
2.填报信息及上传照片。
考生按照网络提示要求通过注册,如实、准确填写相关完整报名信息,同时按网络提示上传近期免冠证件照(JPG格式,200KB以内,照片像素为高480×宽360)。
3.填报个人健康信息。
鉴于当前新冠肺炎疫情防控形势,参加笔试的考生须在7月12日0:00-23:00登录报名网站扫描二维码,并且连续14天(7月12-25日)按要求进行填写个人健康情况。若未填报或填报信息不真实,将影响后续笔试、面试及招录过程。
4.打印准考证。
参加笔试的考生,在7月20日9:00至7月26日14:30登录四川省教育考试院网(http://www.sceea.cn),根据网页上相关提示打印准考证,并按准考证规定的时间和地点,携带准考证和本人有效居民身份证(不含过期身份证、身份证复印件)参加笔试。
请认真熟悉准考证上的注意事项,并妥善保管准考证,除规定时间外,不再开放准考证打印通道。面试资格审查时不能提供准考证的,视为不合格。
五、笔试
1.笔试科目、时间、地点。
笔试科目:《教育公共基础笔试》和《专业知识笔试》。两门笔试科目均不区分初中教师岗位和小学教师岗位。
笔试一律使用规范汉字答卷。
笔试时间:7月26日。上午《教育公共基础笔试》;下午《专业知识笔试》。
笔试地点:拟定在报考岗位所属市(州)政府所在地。
笔试具体时间、地点以准考证中明确的为准。
2.教育公共基础笔试。
报考2020年特岗教师的所有考生均参加《教育公共基础笔试》,满分为100分。《教育公共基础笔试》参照《四川省人力资源和社会保障厅 四川省教育厅关于印发<四川省中小学公开招聘教师教育公共基础笔试和复习大纲>的通知》(川人社发〔2012〕145号)进行命题和考试,主要内容包括教育学、教育心理学、教育法学、教师职业道德。
3.专业知识笔试。
报考语文、英语、数学、物理、化学、生物、历史、地理、政治学科岗位的考生分别参加本学科专业知识笔试,满分为100分。报考信息技术、科学岗位的考生参加数学专业知识笔试。报考音乐、体育、美术、藏语文岗位的考生参加语文专业知识笔试。
专业知识笔试的命题依据及标准为:《2019年普通高等学校招生全国统一考试大纲》(政治时事:年度间国内外重大时事为2019年4月至2020年3月),其中,英语笔试不考听力,数学按文科类要求。
4.笔试综合成绩计算。
考生的笔试综合成绩由《教育公共基础笔试》成绩和《专业知识笔试》成绩共同组成,各占50%的分值。其中,存在一门笔试科目缺考、违纪或得分低于该学科笔试平均分一半的考生,不计算其综合成绩,不参加综合成绩排序,不纳入确定面试人选范围。缺考、违纪或一门笔试成绩得0分的考生不纳入本学科笔试平均分计算范围。
5.公布笔试成绩。
8月20日至11月20日在四川省教育考试院网(http://www.sceea.cn)公布笔试成绩,考生根据网络提示,用本人的报名信息查询笔试成绩,包含《教育公共基础笔试》成绩、《专业知识笔试》成绩、笔试综合成绩及在所报考同岗位考生中的排名。考生若对成绩有异议,可持本人身份证和准考证原件、复印件于8月20日、21日到报考地市(州)招办申请查分,逾期不予办理。各市(州)招办于8月24日集中向省考试院提交查询申请,省考试院负责反馈查分结果。
6.确定面试人选。
依据笔试综合成绩从高分到低分,按设岗数的1:3确定面试人选。按“报考设岗县”和“报考岗位”确定的面试人选未达到面试人选需求数的,在填报了相应“调配志愿设岗县”的考生中,按笔试综合成绩从高分到低分依次确定人选。仍未达到面试人数要求的岗位,在填报了服从地区任意调配的考生中,按笔试综合成绩从高分到低分依次确定人选。
其中,深度贫困县招聘岗位确定面试人选方式为:按设岗数的1:3确定面试人选。在报考深度贫困县岗位的考生中,本县籍考生优先依据笔试综合成绩从高分到低分依次确定人选,不足的由报考同岗位的外县考生依据笔试综合成绩从高分到低分依次确定人选,还不足的在填报了相应“调配志愿设岗县”的考生中,按笔试综合成绩从高分到低分依次确定人选,仍不足的在填报了服从地区任意调配的考生中,按笔试综合成绩从高分到低分依次确定人选。
每个岗位确定最后1名面试人选时,若其后存在笔试综合成绩相同者,一并纳入面试人选。没有达到面试人选比例规定的岗位,照常组织面试考核。
8月31日,通过四川省教育厅门户网站、四川省人力资源和社会保障厅官网和四川省教育考试院网向社会发布面试公告,公布面试人员名单及面试时间、地点等相关事项。
六、资格审查及面试
面试时间拟定于9月上旬,具体面试时间、地点以面试公告为准。面试报到后的资格审查、面试、体检、培训、派遣上岗等各环节招聘工作由面试组织单位自行实施。
1.面试报到:考生应在面试前一天到面试单位报到,未在规定时间内报到的,视为自动放弃。
2.资格审查:考生面试前下载《特岗教师招聘登记表》(在面试公告中明确),按要求填写完善表格,用A4纸张双面打印三份(贴上照片),并携带有效证件原件及复印件:身份证、毕业证、准考证。报考深度贫困县岗位的考生还需携带家庭户口簿原件及复印件。资格审查工作人员依据考生提供的证件,审查考生是否符合规定的招聘对象及条件,并签署资格审查意见。经资格审查,符合报名对象和条件的考生,即可参加面试考核。
3.面试考核:面试考核内容以教师基本素养、所报考岗位的学科专业知识、语言表达能力、仪表举止、试讲试教等为主,采用现场打分方式进行。对于没有组织本专业知识笔试的音乐、体育、美术、信息技术、科学、藏语文等专业岗位考生,将加大专业知识水平测试和能力考核力度。面试成绩满分100分。面试成绩低于60分的不予录取。
4.确定体检人选:依据面试综合成绩从高分到低分依次确定参加体检人选,其中,深度贫困县招聘岗位按照面试成绩从高到低依次确定本县籍考生参加体检,不足的再按照面试成绩从高到低确定外县考生参加体检。
参加体检人员数与设岗数的比例为1:1。体检人员名单由面试组织单位及时向社会公布。
七、体检
1.体检时间和地点:由设岗县(市、区)按规定确定体检时间和地点,并在面试结束后及时发布通知。
2.体检标准:按《四川省申请认定教师资格人员体检工作指导意见》标准执行。
3.递补:若体检后出现缺额的,在面试同岗位的考生中按面试综合成绩从高分到低分依次递补。深度贫困县招聘岗位按照确定体检人选办法递补。
体检结束后,由设岗县(市、区)面向社会公布拟聘人员名单。
八、征集志愿
各地首次组织面试考核拟定聘用人员名单后,若还存在岗位空缺,设岗地区将组织征集志愿,满足招聘对象及条件规定要求的,可以调整岗位征集志愿,在参加特岗教师招聘笔试、具有笔试综合成绩、符合岗位招聘条件的所有考生中进行调剂,其中两类人员除外:一类是参加面试考核后已列入拟聘用人员名单的考生;另外一类是资格审查未通过的考生。首次面试考核后,请各位考生适时关注各市(州)、县(市、区)教育网的征集志愿公告。深度贫困县招聘岗位出现缺额时参照首次录取方式招录。
九、岗前培训
对拟聘特岗教师实施岗前培训,由设岗县(市、区)教育行政部门组织,具体培训时间、地点以及培训方式由设岗县(市、区)教育行政部门另行通知。
十、签订协议
通过岗前培训后,拟聘的特岗教师按设岗县(市、区)规定的时间和地点与设岗县(市、区)教育行政部门签订《特岗教师服务协议书》,并由设岗县(市、区)教育行政部门统一派遣到服务学校。
十一、组织纪律
特岗教师招聘工作坚持“公开、公平、竞争、择优”的原则,严格执行有关规定,遵守考试纪律,接受纪检部门和社会各界的监督,严禁在招聘工作中徇私舞弊,弄虚作假。对违反规定的人员,一经查实,将按有关规定严肃处理。
本招聘简章未尽事宜,按相关政策规定处理。涉及特岗教师招聘的相关信息,以四川省教育厅门户网站、四川省人力资源和社会保障厅官网和四川省教育考试院网发布的信息为准。本简章由教育厅、省委编办、财政厅、人力资源社会保障厅负责解释。
十二、其他事项
1.考生应诚信报考,报名成功后无故缺考的,纳入诚信档案。
2.鉴于当前新冠肺炎疫情防控形势,本次考试的入场时间、入场安检、参考要求、健康码使用等事项将通过四川省教育考试院网(http://www.sceea.cn)和官方微信公众号“四川省教育考试院”发布,敬请关注。
十三、联系方式
四川省教育厅门户网站http://edu.sc.gov.cn
四川省人力资源和社会保障厅官网http://rst.sc.gov.cn
四川省教育考试院网http://www.sceea.cn
设岗地区政策咨询电话见附件2
报名考试系统技术咨询电话:028-86713053
附件下载查看请点击附件标题或阅读原文
1.2020年四川省特岗教师招聘岗位表
2.2020年四川省特岗教师设岗地区政策咨询电话














声明:转载此文是出于传递更多信息之目的。若有来源标注错误或侵犯了您的合法权益,请作者持权属证明与本网联系,我们将及时更正、删除,谢谢。
|