为庆祝中国共产党成立100周年,让同学们树立“以书为友 终生相伴”的阅读理念,从读书中获得新知,真正感受到读书的乐趣,巩固学校“书香校园”的成果,成都市梧桐小学校开展了“爱国爱党 为爱阅读”21天读书活动。
孩子们和家长每天晚上共读一本书20-30分钟,坚持21天,并每天坚持发朋友圈打卡。



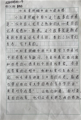
活动中,每位语文教师也给孩子们进行绘本阅读分享,班主任老师对学生完成情况进行记录。



颁发书香娃娃、书香班级奖
本次读书节活动培养了孩子们热爱祖国、热爱中国共产党的情怀,坚定了爱国主义信念,让孩子们在读书中得到成长,共创共建家校读书氛围,共享学生的全面素质发展,再造家校共育的新高度。
|